Publication Date: February 14, 2025
Access counts:0
Are Laser Light Beams Optical Rays or Waves?
-Stochastic Ray Tracing, a New Representation of Light-
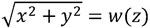
Fig. 1 Numerical results of stochastic ray tracing for a Gaussian beam


At JAEA, laser light beams are used for various applications, such as fundamental physics research and power plant decommissioning. A critical aspect of any laser experiment is laser beam propagation. Classical optics describes light as optical rays and waves. However, the ray-based description of light (ray tracing) does not account for the diffraction effects associated with the wave features. These diffraction effects form the focusing effects. The lack of diffraction effects in ray tracing presents a considerable challenge because focused laser beams are commonly used in laser experiments.
Herein, we investigated the ray tracing method along with the diffraction effects under vacuum conditions. Moreover, we developed stochastic ray tracing in which ray trajectory is modeled as a stochastic process that incorporates the Fresnel diffraction effects. The system of stochastic rays is equivalent to the wave equation under the slowly varying envelope approximation. Using this method, we confirmed the wave-ray duality and the uncertainty relation between ray position and divergence.
Furthermore, we performed numerical calculations on a Gaussian beam to accurately illustrate the focusing effects, Rayleigh range, and diffraction effects through the shape of its wavefront. Constructing the Rayleigh range using conventional ray tracing methods is quite challenging (Fig. 1a). The histogram plot of stochastic rays (Fig. 1b) generated herein successfully depicts the transverse laser intensity distribution of a Gaussian beam in wave optics (Fig. 1c). Laser intensity distributions are related to thermal energy densities on the surface of a laser-irradiated target, stochastic ray tracing contributes to further numerical estimations for laser processing, etc.
If you have any comments or feedback about this page, please click the button to share your thoughts with us.