Publication Date: February 9, 2026
Access counts:0
Investigation of Chemicals Affecting Flowability of Cement Paste
-Efforts Toward Stable Operation of Cement Solidification Process for Radioactive Waste-
Table 1 Results of literature research on the effects of chemical compounds on cement setting


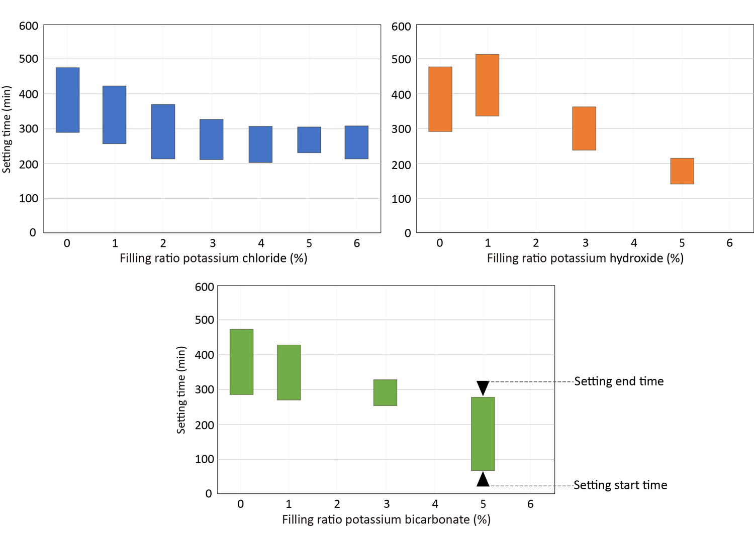
Fig. 1 Relationship between potassium compound filling rate and cement setting time
In the cement solidification process for radioactive waste, fluidity of the cement paste is important. There is concern that the chemical reaction between components in the waste and the cement may affect the treatment process by shortening the time that the cement paste retains its original fluidity. However, understanding of the chemicals that affect the fluidity of cement is insufficient.
In this study, existing knowledge on chemicals that affect the solidification, or “setting” of cement was investigated. Setting is the process by which cement loses its fluidity and hardens. From the results of the survey (Table 1) for each chemical, the effect on setting can be categorized as either accelerated or delayed, and can be described qualitatively as “Accelerate”, “Strongly Accelerate”, or “Accelerates hydration of Alite”. For some chemicals such as sodium chloride and potassium carbonate, the effect on setting was delayed depending on the amount added.
Setting time of cement samples containing various potassium compounds were measured as a function of content, in consideration of the limited published information on the effect of potassium compounds. The effect on setting time could be quantified (Fig. 1) and various mechanisms contribute to the acceleration of setting time. This study successfully obtained information on chemicals regarding the stable control of the cement solidification process using literature review and subsequent cement setting tests.
These results may be useful in the selection of analytical targets and configuration of waste fill volume in cement solidification.
If you have any comments or feedback about this page, please click the button to share your thoughts with us.
