Publication Date: March 31, 2026
Access counts:0
Chameleon Superconductivity That “Mimics” Magnetic Fields and Self-Reconstructs
-The Critical Magnetic Field Doubles in Spin-Triplet Superconductor-

Fig. 1 Electron pairs forming superconductivity
Spin-singlet (antiparallel, S = 0) electron pair (a), spin-triplet (parallel, S = 1) electron pair (b).

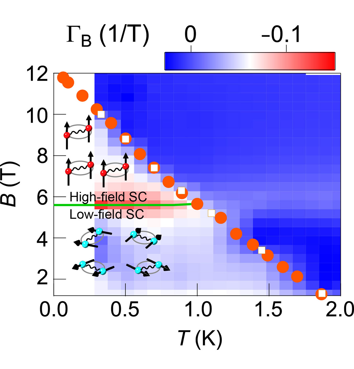
Fig. 2 Magnetic-field (B )-temperature (T ) superconducting phase diagram of UTe2
In conventional superconductors, two electrons forming the superconducting pair have antiparallel spins, yielding a total spin of S = 0 (Fig. 1a). As a result, the net magnetization is zero and the spin does not constitute an active degree of freedom. In contrast, in a spin-triplet superconductor, the two electrons in a pair have parallel spins and the pair has a total spin of S = 1 (Fig. 1b). Consequently, the spin orientation becomes a relevant degree of freedom, and the spin configuration can in principle change in response to an external magnetic field. This property is generally expected to make superconductivity more robust against strong magnetic fields, and thus spin-triplet superconductors are considered promising for applications such as superconducting magnets that generate very high fields.
In this study, we investigated the high-field properties of the spin-triplet superconductor, UTe2. We found that, whereas the low-field superconducting phase exhibits no preferred alignment of the spin orientation, increasing the magnetic field induces a phase transition into a high-field superconducting phase where the spins become aligned along the field direction (Fig. 2). As a consequence, we show that the upper critical field at which superconductivity is destroyed reaches twice the theoretical expectation for conventional superconductors.
This achievement not only provides design guidelines for developing high-field superconducting magnet wires, but also demonstrates that unconventional superconductors possess the flexibility to adapt to external environments—such as magnetic fields—through a reconstruction of their spin and orbital degrees of freedom, much like a chameleon blending into its surroundings. This is an important insight that will contribute to establishing a general framework common to unconventional superconductivity.
If you have any comments or feedback about this page, please click the button to share your thoughts with us.
