公開日付: 2026年3月12日
アクセスカウント:0
2000 ℃に迫るMOXのエンタルピーを測定
-MOX燃料の温度解析の高度化に向けた研究-

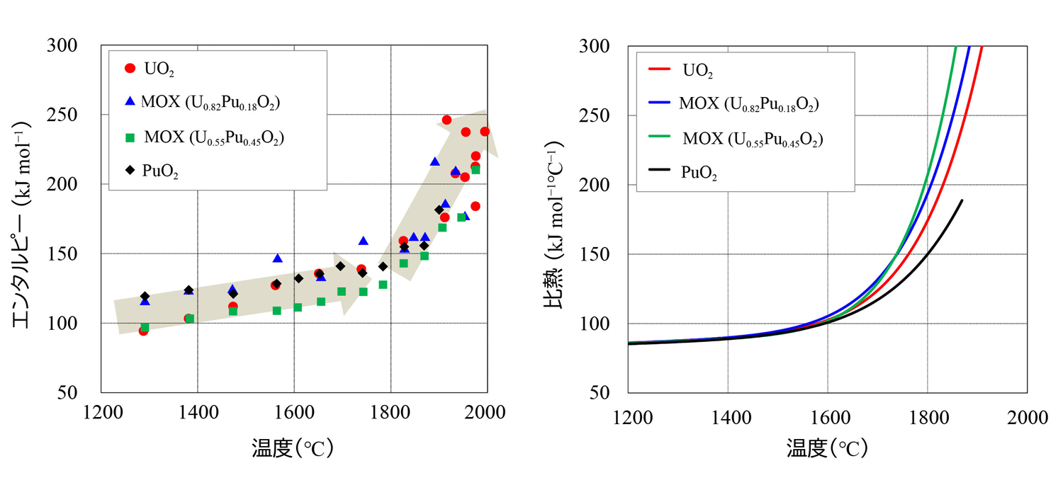
図1 UO2、MOX及びPuO2のエンタルピーの測定結果(左)と比熱の解析結果(右)
実験で得られたエンタルピーは、約1800 ℃から顕著に上昇する傾向を示しました。これに伴って比熱も大きな変化を示す解析結果が得られました。これらは、1800 ℃付近で電子・正孔といった格子欠陥の濃度が急上昇することが原因と考えています。
ウラン・プルトニウム混合酸化物(MOX)燃料の温度解析を行うためには、MOXの正確な物性値が必要です。特に高速炉では、MOX燃料ペレットは2000 ℃を超える高温になりますが、このような高温での精度のよい物性値はまだよく知られていません。このため、このような物性データを拡充するとともに、メカニズムを明らかにし、物性値の信頼性を向上させることが重要となります。そこで本研究では、MOXと、さらにUO2及びPuO2についても、実験可能な最高温度として2000 ℃に迫る高温のエンタルピーを測定し、その結果から比熱を導出しました。
図1にエンタルピーの測定結果と比熱の解析結果を示します。UO2、PuO2、MOXのいずれもエンタルピーは約1800 ℃から顕著に上昇する傾向を示しました。また、組成は大きな影響を与えないことが明らかになりました。そして比熱はエンタルピーの温度微分で得られますが、エンタルピーと同様に高温になるほど顕著に上昇するような解析結果が得られました。
2000 ℃に迫る高温のエンタルピーの実験データについて、UO2とMOXとPuO2の違いを実験的に調べた研究は世界で初めてのものです。今回得られたデータは、MOX燃料の温度解析に貢献する貴重なデータとなります。
著者情報
参考文献
このページへのご意見やご感想などありましたらボタンをクリックしてご意見ご感想をお寄せ下さい。
